跳转到主要内容

数字通信中几种调制方式的星座图

cathy /

由于实际要传输的信号(基带信号)所占据的频带通常是低频开始的,而实际通信信道往往都是带通的,要在这种情况下进行通信,就必须对包含信息的信号进行调制,实现基带信号频谱的搬移,以适合实际信道的传输。即用基带信号对载波信号的某些参量进行控制,使载波的这些参量随基带信号的变化而变化。因为正弦信号的特殊优点(如:形式简单,便于产生和接受等),在大多数数字通信系统中,我们都选用正弦信号作为载波。显然,我们可以利用正弦信号的幅度,频率,相位来携带原始数字基带信号,相对应的分别称为调幅,调频,调相三种基本形式。当然,我们也可以利用其中二种方式的结合来实现数字信号的传输,如调幅-调相等,从而达到某些更加好的特性。

<strong>一.星座图基本原理</strong>

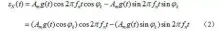
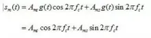
一般而言,一个已调信号可以表示为: