跳转到主要内容

【视频】MEMS 小讲堂丨几幅动态图告诉你陀螺仪的工作原理

cathy /

MEMS是一项革命性的新技术,广泛应用于高新技术产业,是一项关系到国家科技发展的关键技术。

MEMS小课程共分为四个章节,第一章节<a href="http://mouser.eetrend.com/content/2019/100017672.html"&gt;『MEMS加速度计工作原理』</a>已经分享给大家啦,点击即可查看哦~

之前我们分享了一期MEMS小讲堂,由 ADI 亚太区微机电产品市场与应用经理赵延辉为大家介绍了陀螺仪应用参数,受到了大家的一致好评,并且还有小伙伴表示想要迫不及待的了解加速度计。这不,你们想要的来了~

【视频】MEMS 小讲堂丨加速度计工作原理及参数解密

cathy /

之前我们分享了一期MEMS小讲堂,由 ADI 亚太区微机电产品市场与应用经理赵延辉为大家介绍了陀螺仪应用参数,受到了大家的一致好评,并且还有小伙伴表示想要迫不及待的了解加速度计。这不,你们想要的来了~

今天的 MEMS 小讲堂继续由赵延辉讲解,为大家介绍 MEMS加速度计工作原理。在本期视频中,赵延辉重点介绍了

加速度在生活中的现象,并基于生活中的加速度现象引申到 MEMS加速度计的工作原理;

胡克定律和牛顿第二定律,以及如果结合这两个定律来推导出加速度的测量方法;

芯片级加速度计的运动示意,以及它的一些设计方法,难点和信号链;

……

MEMS器件在传感/生物/光学/射频方面会有哪些应用?

cathy /

MEMS器件体积小,重量轻,耗能低,惯性小,谐振频率高,响应时间短。MEMS系统与一般的机械系统相比,不仅体积缩小,而且在力学原理和运动学原理,材料特性、加工、测量和控制等方面都将发生变化。在MEMS系统中,所有的几何变形是如此之小(分子级),以至于结构内应力与应变之间的线性关系(虎克定律)已不存在。MEMS器件中摩擦表面的摩擦力主要是由于表面之间的分子相互作用力引起的,而不是由于载荷压力引起。

MEMS器件以硅为主要材料。硅的强度、硬度和杨氏模量与铁相当。密度类似于铝,热传导率接近铜和钨,因此MEMS器件机械电气性能优良。它集中了当今科学技术发展的许多尖端成果。通过微型化、集成化可以探索新原理、新功能的元件和系统,将开辟一个新技术领域。

<center><img src="http://mouser.eetrend.com/files/2019-01/wen_zhang_/100017479-59106-mems…; alt=“” ></center>

【原创深度】外骨骼结构借助一系列传感器提供了机动性的解决方案

cathy /

<strong><font color="#FF0000">作者:Steve Schriber</font> </strong>

虽然我们大多数人从未见过流行文化之外的外骨骼结构,但是它们确实已经存在几十年了。第一个例子出现在19世纪末,当时开发出一款有助于跑步和跳跃的装置,采用气体动力学提供动力。20世纪60年代一些公司开发了针对军事和工业用途的可穿戴“增强”设备,但是这些设备都太笨重,非常的不实用。近些年来组件的微型化以及重量的减轻使得可穿戴外骨骼设备成为现实,例如一名曾经瘫痪的女士穿着外骨骼架构设备完成了2012年的伦敦马拉松比赛。

<center><img src="http://mouser.eetrend.com/files/2018-09/wen_zhang_/100014309-48715-c1.j…; alt=“” width="600"></center>

KO传统开关,MEMS开关是怎么做到的?

cathy /

开关功能是所有电子测试仪器仪表中的一项基本关键功能。由于待测器件(DUT)的复杂性提高,通道/引脚数量和功能增加,因而测试类型和所需测试数量也随之增加。并且每个器件评估需要进行数百项测试,特别是在自动测试设备(ATE)中,因此测试速度非常重要。

对于ATE测试仪器仪表,典型测试设备设置的高级别方框图如图1所示。

<center><img src="http://mouser.eetrend.com/files/2018-07/wen_zhang_/100012461-44398-d1.j…; alt=“图1. 连接到待测器件的典型ATE测试系统,使用指定的开关” width="600"></center><center><i>图1. 连接到待测器件的典型ATE测试系统,使用指定的开关</i></center>

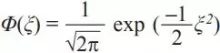
ADI 深度丨从一份案例研究 MEMS 加速度计的振动校正

cathy /

导航和AHRS系统、机器健康状况检测的振动监控、基础设施的结构健康状况监控和平台稳定、井下定向钻探的倾斜监控、施工行业平路机和勘测设备的调平、吊车稳定系统吊杆倾角测量的高精度倾角计……

它们,都需要高性能 MEMS 加速度计来提供低成本解决方案!

一般,加速度计会经受不同幅度的振动,但上述这些应用的另一个不同方面是振动的频率成分。振动与传感器和系统误差源相结合可能导致振动校正,这是高性能加速度计的一个重要指标。

<strong>本文将告诉你们——</strong>

✍ MEMS 加速度计中的振动校正是如何发生的?

✍ 测量振动校正需要知道的参数以及使用的技术。

作为案例研究,文中会讨论低噪声、低功耗加速度计 ADXL355 的振动校正。ps.低振动校正误差以及所有其他特性,使这款器件成为上述精密应用的理想之选。

<strong>振动校正的来源</strong>

MEMS 振荡器的 EMI 抑制能力

cathy /

<strong><font color="#FF0000">作者: Maurizio Gavardoni Microchip Technology Inc.</font> </strong>

<strong>摘要</strong>

对于半导体行业的系统设计人员而言,电磁干扰(Electromagnetic interference, EMI)始终都是一大挑战。在当今的系统设计中,电子元器件布局密集紧凑,处理器速度和数据速率超过以往任何时候,因而这种挑战变得更为严峻。系统时钟是产生 EMI 的主要因素。

MEMS 振荡器已得到了非常广泛的使用,并在很多需要生成时钟的应用中稳步取代晶体振荡器。MEMS 振荡器与晶体振荡器相比具有显著的优势,其中之一就是它们能够灵活地进行编程和配置。

本应用笔记将重点描述如何利用MEMS振荡器的可编程特性来帮助减少 EMI。

MEMS 振荡器对机械应力的抵抗能力

cathy /

<strong>摘要</strong>

MEMS 振荡器已得到了非常广泛的使用,并在很多应用中稳步取代晶体振荡器。MEMS 振荡器与晶体振荡器相比具有诸多显著的优势,例如提高了可靠性和对机械应力的抗力,以及在宽温度范围内保持平稳的性能。MEMS振荡器还具备一定的灵活性,可通过编程和配置生成多个输出时钟。

<strong>简介</strong>

在过去的数十年,每当有应用需要稳定的低抖动时钟源时,我们都会使用晶体振荡器。

近年来出现了一种使用MEMS来构建谐振器的新技术。MEMS 振荡器与晶体振荡器相比具有一些显著的优势。首先,它们能够抵御机械冲击、振动、挠曲和坠落,因而非常坚固和可靠,这要归功于其封装结构对谐振器形成了一种自然保护。第二,MEMS 谐振器具有伪线性温度系数,因而易于补偿;这可确保谐振器整个温度范围(最高可超过 +125°C)内保持稳定的时钟频率 (意味着低 ppm)。

显而易见,这两种特性让MEMS振荡器非常适合一些环境恶劣的工业和汽车应用。此外, MEMS 的结构非常紧凑,因而可生产小尺寸封装的振荡器,最小尺寸为 1.6 mm x 1.2 mm。

采用微机电系统(MEMS)技术的 Microchip振荡器和时钟

cathy /

<strong>概述</strong>

数十年来,振荡器和时钟始终依靠石英晶体来构建稳定的参考频率。晶体在许多应用中表现出十分优异的性能。但十年前,用MEMS谐振器代替石英晶体的微机电系统(Microelectromechanical System,MEMS)技术进入了市场,并且正在迅速走向成熟。

基于MEMS的时序器件兼具高可靠性(包括汽车应用的AEC-Q100认证)、扩展工作温度、小体积和低功耗特性。视频监控、汽车ADAS、一般工业应用和10 Gbps数据传输是当今主要的应用领域。下一个里程碑将是下一代MEMS谐振器,这种谐振器能够针对高端通信系统实现非常低的相位噪声。

在2015年,Microchip通过收购Discera和Micrel获得了MEMS时序技术。Discera自2008年交付第一批振荡器之后,已生产和销售了近1亿个器件。

本文介绍了基于MEMS的解决方案的优势、谐振器技术以及最终产品的设计。